Senin, 22 Oktober 2012

ANALISIS REGRESI LINIER BERGANDA

Korelasi Parsial :
Persamaan :

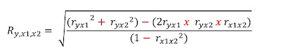
Menghitung korelasi ganda (R) dan Koefisien determinan (R square= R2)M
Korelasi ganda (R) dapat dihitung dengan Persamaan sebagai berikut:


 MENGHITUNG UJI F



KOEFISIEN REGRESI DAN MODEL REGRESI
Koefisien regresi dicari dengan persamaan berikut ini :


Rabu, 10 Oktober 2012

ANALISIS KORELASI PRODUCT MOMENT PEARSON


a.   Pengertian
Korelasi adalah istilah statistik yang menyatakan derajat hubungan linier (searah bukan
timbal balik) antara dua variabel atau lebih.

b.   Macam-macam Teknik Korelasi
•   Product Moment Pearson  : Kedua variabelnya berskala interval
•   Rank Spearman  : Kedua variabelnya berskala ordinal
•   Point Serial  : Satu berskala nominal sebenarnya dan satu berskala interval
•   Biserial  : Satu berskala nominal buatan dan satu berskala interval
•   Koefisien kontingensi  : Kedua varibelnya berskala nominal

c.   Kegunaan Korelasi Product Moment Pearson
•   Untuk menyatakan ada atau tidaknya hubungan antara variabel X dengan variabel Y.
•   Untuk menyatakan besarnya sumbangan variabel satu terhadap yang lainnya yang
dinyatakan dalam persen. 

d.   Asumsi
•   Data berdistribusi Normal
•   Variabel yang dihubungkan mempunyai data linear.
•   Variabel yang dihubungkan mempunyai data yang dipilih secara acak.
•   Variabel yang dihubungkan mempunyai pasangan yang sama dari subyek yang sama pula
(variasi skor variabel yang dihubungkan harus sama).
•   Variabel yang dihubungkan mempunyai data interval atau rasio.

e.   Nilai r
•   Nilai r terbesar adalah +1 dan r terkecil adalah –1. r = +1 menunjukkan hubungan positip
sempurna, sedangkan r = -1 menunjukkan hubungan negatip sempurna.
•   r tidak mempunyai satuan atau dimensi. Tanda + atau - hanya menunjukkan arah
hubungan. Intrepretasi nilai r adalah sebagai berikut:
 
 
 
 
 
 
 
 
 
 
f.   Langkah-langkah Menghitung Koefisien Korelasi Parsial
1.   Tulis Ho dan Ha dalam bentuk kalimat.
2.   Tulis Ho dan Ha dalam bentuk statistik.
3.   Buat tabel penolong sebagai berikut:
 
 
 
 
 
4.   Cari r hitung.
 5.   Tentukan taraf signifikansinya ( α )
6.   Cari r tabel dengan dk = n-2
7.   Tentukan kriteria pengujian Jika -rtabel ≤rhitung ≤+r tabel, maka Ho diterima
8.   Bandingkan thitung dengan ttabel
9.   Buatlah kesimpulan.

Contoh:
1.   Tulis Ho dan Ha dalam bentuk kalimat.
Ho : Tidak terdapat hubungan yang positip dengan Nilai Penjualan.
Ha : Terdapat hubungan yang positip dan signifikan antara variabel Biaya Promosi dengan Nilai Penjualan.
2.   Tulis Ho dan Ha dalam bentuk statistik.
Ho : r = 0.
Ha : r ≠ 0.
3.   Buat tabel penolong sebagai berikut:
 4.   Cari r hitung
 
5.   Taraf signifikansi ( α) = 0,05.
6.   r tabel dengan dk = 8-2=6 adalah 0,707
7.   Tentukan kriteria pengujian Jika -rtabel ≤rhitung ≤+r tabel, maka Ho diterima
8.   Bandingkan rhitung dengan rtabel, r hitung (0,86) > r tabel (0,707), jadi Ho ditolak.
9.   Kesimpulan : Terdapat hubungan yang positip dan signifikan antara variabel Biaya Promosi dengan Nilai Penjualan
 
Referensi:
Mason, R.D & Douglas A. Lind. 1996. Teknik Statistik Untuk Bisnis dan Ekonomi.  Penerbit
Erlangga, Jakarta.
Usman, H. dan R. Purnomo Setiady Akbar. 2000.  Pengantar Statistika.  Jakarta : Bumi
Aksara. 
 

ANALISIS REGRESI SEDERHANA

Regresi atau peramalan adalah suatu proses mem-perkirakan secara sistematis tentang apa yang paling mungkin terjadi dimasa yang akan datang berdasarkan informasi masa lalu dan sekarang yang dimiliki agar kesalahan dapat diperkecil. Regresi dapat diartikan sebagai usaha memperkirakan perubahan. Supaya tidak salah paham bahwa peramalan tidak memberikan jawaban pasti tentang apa yang akan terjadi, melainkan berusaha mencari pendekatan apa yang akan terjadi. Jadi, regresi mengemukakan tentang keingintahuan apa yang terja-di dimasa depan untuk memberikan kontribusi menentukan keputusan yang terbaik.
Kegunaan regresi dalam penelitian salah satunya adalah untuk meramalkan atau memprediksi variabel terikat (Y) apabila variabel bebas (X) diketahui. Regresi sederhana dapat dianali-sis karena didasari oleh hubungan fungsional atau hubungan sebab akibat (kausal) variabel bebas (X) terhadap variabel terikat (Y). Karena ada perbedaan yang mendasar dari analisis korelasi dan analisis regresi. Pada dasarnya analisis regresi dan analisis korelasi keduanya punya hubungan yang sangat kuat dan mempunyai keeratan. Setiap analisis regresi otomatis ada analisis korelasinya, tetapi sebaliknya analisis korelasi belum tentu diuji regresi atau diteruskan dengan analisis regresi.

Persamaan regresi dirumuskan :
Y^ = a + b X
Dengan,
   Y^       = (baca  Y topi) subjek variabel terikat yang diproyeksi
     X     = variabel bebas yang mempunyai nilai tertentu
a          = nilai konstanta harga Y jika X = 0
b          = nilai arah yang menunjukkan nilai peningkatan (+)
                 atau nilai penurunan (-) variabel Y



Analisis   regresi   adalah   suatu   analisis   statistik   yang   memanfaatkan   hubungan antara   dua  variable  atau  lebih  yaitu  variable  Y  (   variabel   dependen  atau  respons) pada beberapa variabel  lain X1,X2,  .. ,Xk,  ( variabel  independent atau predictor  ).Dimana   X   diasumsikan   mempengaruhi   Y   secara   linear.   Jika   analisis   regresidilakukan   untuk   satu   variabel   dependen   dan   satu   variabel  independent   maka regresi   ini   dinamakan   regresi   sederhana.   Analisis   regresi   linear   diperoleh   dari
suatu   motivasi   bahwa   plot   data   variabel   X   (   pengaruh   )   dan   Y   (   respond   ) cenderung linear.

Model regresi linear sederhana
Model regresi adalah cara yang digunakan untuk menyatakan dua hal:
a. Kecenderungan   berubah-ubahnya   variabel   dependen   terhadap   variabel independent dalam bentuk yang sistematis( teratur ).
b. Berpencarnya observasi di sekitar kurve yang menyatakan hubungan statistic.

Kedua karakteristik itu ada dalam model regresi dengan mempostulasikan bahwa:
a. Dalam   populasi   observasi   di   mana   sample   diambil,   terdapat   distribusi probabilitas dari Y untuk setiap level dari X,
b. Harga-harga   mean   distribusi   probabilitas   ini   berbeda-beda   dalam   cara   yang
sistematik dengan X.

Senin, 08 Oktober 2012

Analisis Reliabilitas tes uraian


 
Reliabilitas mengacu pada suatu pengertian bahwa suatu instrument cukup dapat dipercaya untuk dapat digunakan sebagai alat pengumpul data karena instrumen tersebut sudah baik (Arikunto, 1999:154). Pengukuran reliabilitas instrumen penelitian misalnya berupa soal matematika bentuk uraian untuk mengukur hasil belajar matematika dengan menggunakan rumus Alpha yaitu sebagai berikut.
 
 
             Kriteria pengujian reliabilitas soal tes yaitu setelah didapatkan harga r11 kemudian harga r11
                     tersebut dikonsultasikan dengan harga r product moment pada tabel, jika r11 > rtabel maka        
            item tes yang diujicobakan reliabel (Arikunto, 2006: 109).
 
contoh perhitungan reliabilitas soal tes bentuk uraian dengan menggunakan rumus alpha:
 
tabel hasil belajar 40 siswa dengan skor 0-10 per butir dengan banyak soal ada 7 butir soal

                   Hasil perhitungan reliabilitas soal tersebut dengan menggunakan m excel

 

Analisis Validitas dengan rumus korelasi product moment


Validitas merupakan ukuran yang menunjukkan tingkat-tingkat kevalidan atau keshahihan suatu instrumen (Arikunto, 1999: 144). Dalam menentukan validitas suatu instrumen semisal tes hasil belajar matematika bentuk uraian digunakan rumus Product Moment yaitu:

 Selanjutnya hasil rxy dikonsultasikan dengan rtabel  product moment dengan  a = 5 %, jika rxy > rtabel maka alat ukur dinyatakan valid.

contoh perhitungan denngan menggunakan microsoft exel
berikut adalah tabel nilai hasil belajar soal bentuk uraian sebanyak 7 butir soal dengan banyaknya sampel penelitian 40.


berikut contoh perhitungan validitas butir soal no 2 dengan menggunakan rumus product moment



Uji Normalitas Data

Uji kenormalan dimaksudkan sebagai langkah awal dalam mengolah data secara statistik, terutama dalam menentukan statistic yang digunakan apakah menggunakan statistik parametrik atau non parametrik. Uji normalitas data awal tersebut menggunakan rumus Chi-kuadrat Hipotesis yang diuji adalah sebagai berikut.
Ho  : data pada sampel berasal dari populasi yang berdistribusi normal
Ha  : data pada sampel berasal dari populasi yang berdistribusi tidak  normal.




Rumus Chi-kuadrat sebagai berikut.
 X2        : Chi-kuadrat
Oi        : Frekuensi pengamatan
Ei         : Frekuensi yang diharapkan
k          : banyaknya interval
Kriteria pengujian terima H0 jika X2hitung < X2tabel dengan dk= k-3 dan alva= 5 %, berarti data berdistribusi normal (Sudjana, 2002:273).
Dalam melakukan uji Chi-kuadrat dilakukan langkah-langkah sebagai berikut.
1)      Mengelompokkan data dari hasil ulangan akhir semester dalam bentuk data interval yaitu dengan cara: 
a)      menentukan rentang yaitu selisih data terbesar dengan data terkecil; 
b)      menentukan banyaknya kelas interval dengan aturan sturges, yaitu banyaknya kelas  = 1 + 3,3 log n, dengan n adalah banyaknya data (Sudjana, 1996: 47); 
c)      menentukan panjang kelas interval (p)

(Sudjana, 1996: 47); 
d)     memilih ujung bawah kelas interval pertama yang dapat ditentukan dengan data terkecil atau nilai data yang lebih  kecil dari nilai data terkecil, tetapi selisihnya harus kurang dari panjang kelas. 
2)      Menetukan rata-rata dari interval dengan rumus berikut.

 





Sudjana, 1996: 67);
3)      Menentukan simpangan baku dari data interval dengan persamaan berikut.
keterangan:

s^2= varians
s = simpangan baku
(Sudjana, 1996: 93); 
4)      menentukan batas interval;
5)      menentukan angka-angka standar dengan persamaan berikut.

Keterangan:
x  = nilai batas interval
x= nilai rata-rata
S = simpangan baku
(Sudjana, 1996: 138);
6)      menentukan peluang untuk z yaitu dengan melihat nilai z dan mengkonsultasikan pada daftar normal standart;
7)      menentukan luas daerah yaitu selisih antar peluangnya;
8)      menentukan frekuensi harapan yang merupakan hasil kali antara luas daerah dengan jumlah siswa;
9)      menentukan nilai chi-kuadrat dan mengkonsultasikan harga chikuadrat hitung dengan harga Chi-kuadrat tabel.